
anom – « Etat des batiments venus de la côte d’Espagne, des isles de Saint-Martin et Saint-Barthelemy »
Des QUESTEL, des GRÉAUX, des PIMONT, des BERNIER, MASSON, LAGLOIS, ROCHE, MUTREL. Même Pierre BERNE dont la postérité a du se perdre dans la masse des BERNIER. Des noms Saint-Barth et Saint-Martinois tout à la fois à cette époque. Ils sont déjà à commercer entre les iles sur leurs propres navires, et pourtant ce ne sont pas les meilleurs années pour nos deux iles. C’est (encore) une période de guerre avec l’Angleterre, une période durant laquelle nos populations sont régulièrement attaquées par les Anglais. Une période d’exile forcé vers la Guadeloupe, la Martinique, Sainte-Lucie ou Saint-Vincent.
Ce petit aperçu de ce qu’a pu être le trafic maritime opéré par les armateurs et capitaines des iles du nord grâce aux rapports des douanes de Fort Saint-Pierre et Fort Royal entre 1740 et 1744, nous permet de nous faire une petite idée de ce à quoi pouvait ressembler l’économie entre les iles, ce que l’on achetait, ce que l’on revendait.
La lecture des documents digitalisé aux ANOM originaux n’est pas simple, et pour certains articles, je n’ai pas pu déchiffrer.
On peut quand même s’étonner de la taille de certains de ces navires, et des valeurs transportées surtout pour cette époque.
Par « Côte d’Espagne » il faut entendre les côtes de l’Amérique Caribéenne (centrale et nord de l’Amérique du Sud).

Il faut lire les dates comme : le bateau est d’abord parti puis revenu au port, et non pas l’inverse, j’ai gardé l’ordre des colonnes comme sur les documents originaux.
Registre pour 1740

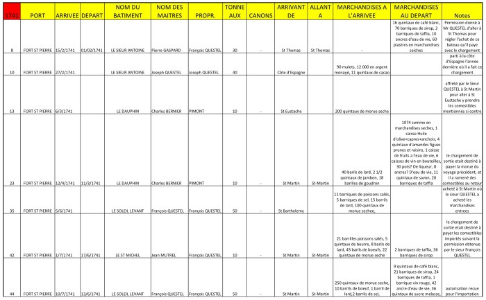
Registre pour 1741



Registre pour 1742


Registre pour 1744

Bateaux vendus à la martinique
Catégories :Uncategorized
Laisser un commentaire